ОСВВ (стерилизация) или усыпление? Американский опыт
Америка также является страной с большой территорией, разными национальными традициями в разных штатах и большой самостоятельностью штатов в части законодательства по обращению с животными. Только в 2019 году был принят общий закон, который устанавливает единый для всей страны запрет на жестокое обращение с животными, нарушителям грозит наказание до 7 лет лишения свободы.
Однако, общеизвестными являются и факты о том, что в некоторых штатах США до сих пор применяется эвтаназия животных в приютах. Несмотря на то, что зоозащитные организации Америки обладают значительно большими финансовыми ресурсами, чем российские и борются за полный запрет эвтаназии, эвтаназия все еще применяется. В США есть даже организация «Крылья спасения», которая перевозит животных из приютов в шатах с разрешенной эвтаназией на частных самолетах в более благополучные штаты.
Штат Делавер в 2019 году стал первым штатом, установившим полный запрет на эвтаназию животных, и зоозащитники борются за полный запрет эвтаназии в США к 2025 году.
Как обращаются в США с кошками?
В основном к кошкам применяется метод ОСВВ- отлов, стерилизация, вакцинация (TNR), выпуск в среду обитания. В США есть крупные организации по защите прав и интересов кошек такие как Alley Cats Allies , есть знаменитый Джексон Гэлэкси, который спасает и стерилизует кошек, мы сами часто смотрим его интересные видеоролики. В Америке часто идут дискуссии по поводу того, что бездомные кошки ловят диких животных и птиц и наносят ущерб окружающей среде, поэтому регулирование численности кошек необходимо.
ОСВВ работает, убийство не работает
Недавно нам попалось на глаза очень интересное исследование, которое сравнивает метод ОСВВ (TNR) и метод отлова и усыпления (TE) не только между собой, но и сравнивает с политикой, когда популяция кошек вообще никак не регулируется.
Методы сравниваются не только с точки зрения эффективности по снижению численности кошек, но и по экономической целесообразности.
В исследовании, в частности упоминается, что в случае применения ОСВВ опекуны кошек готовы к сотрудничеству с властями, тогда как при отлове с целью усыпления никакого сотрудничества не будет. Также авторы отмечают и пользу бездомных кошек в борьбе с грызунами.
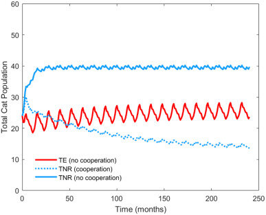
В исследовании применяются математические биоэкономические модели, с помощью которых можно прогнозировать различные сценарии развития кошачьей популяции. В биоэкономической модели учитывается как ущерб окружающей среде, наносимый кошками, так и стоимость методов ОСВВ и эвтаназии. На рисунке 1 показано сравнение методов отсутствия влияния на популяцию, метод усыпления (красным) TE , и метод ОСВВ (TNR). Как видите на красном графике видна тенденция к увеличению популяции, так как инстинкт размножения сильнее смерти, в случае убийства — у самок кошек рождается больше девочек, популяция стремится к восстановлению своей численности, в случае с применением ОСВВ — популяция перестает расти, но и в случае, когда популяцию вообще не контролировать, природные механизмы регулирования численности и смертность все равно не дают резкого увеличения.
Рисунок 1
Далее приводится еще один график (рисунок 2), который показывает какую роль играет сотрудничество с опекунами животных при проведении программы ОСВВ и мы видим как кривая численности уверенно ползет вниз. Что показывает важность такого сотрудничества.
Рисунок 2
Помимо выводов о том, насколько важным является сотрудничество с опекунами, делается вывод, что важно определить цель регулирования численности кошек, либо это эффективное снижение численности, либо наименее затратный способ. С точки зрения эффективного снижения численности в долгосрочной перспективе метод ОСВВ эффективнее, чем отлов с усыплением. Но затраты на него выше, чем на усыпление.
По нашему глубокому убеждению жизнь кошки не менее ценна, чем любая другая и человек не должен убивать ни кошек ни собак. А стерилизацию нужно проводить не с целью повлиять на популяцию, а только с гуманными целями, ведь естественным механизмом регулирования численности является высокая смертность котят в детском возрасте. Стерилизованной кошке живется легче и проще. А также можно порадоваться, что отлов кошек с усыплением в нашей стране официально не практикуется.

